Lompat ke konten Lompat ke sidebar Lompat ke footer

Contoh Soal Vektor 3 Dimensi / Contoh Soal Dan Jawaban Vektor Terbaru Dan Lengkap / Contoh soal dan pembahasan tentang sudut antara.

Contoh Soal Vektor 3 Dimensi / Contoh Soal Dan Jawaban Vektor Terbaru Dan Lengkap / Contoh soal dan pembahasan tentang sudut antara.. Daya dipengaruhi dimensi massa, panjang, dan waktu maka dimensi daya. 20200908 soal dan pembahasan dimensi tiga. Dokumentasi penulis sudut antar vektor dalam ruang berdimensi dua. Keren 30 gambar vektor 3 dimensi vektor diruang 2 dan 3 vector 2d 3d download vektor pengertian rumus operasi vektor di r2 r3 contoh soal chart line chart. Dimensi tiga yang dipelajari mencakup tentang konsep titik garis dan bidang pada bangun ruang termasuk mengenai jarak dan sudut postingan ini khusus membahas sejumlah soal terkait konsep jarak titik garis dan bidang pada bangun ruang.

I p 04 x 2 08 a. Contoh besaran vektor, antara lain, perpindahan, kecepatan, percepatan, momentum, dan gaya. Vektor digambarkan sebagai panah dengan yang menunjukan arah vektor dan panjang garisnya disebut besar vektor. Soal seni rupa 2 dan 3 dimensi sudah sedikit paham ya tentang apa itu seni. Secara singkat, vektor merupakan besaran yang memiliki nilai sekaligus arah.

Contoh Soal Vektor Dan Dan Jawaban Satuan Beserta Perkaliannya
Contoh Soal Vektor Dan Dan Jawaban Satuan Beserta Perkaliannya from passinggrade.co.id
Oleh gurupendidikan diposting pada 17 juli 2021. Contoh soal vektor pada ruang dimensi 3. Contoh besaran vektor, antara lain, perpindahan, kecepatan, percepatan, momentum, dan gaya. Media yang digunakan dalam berkarya seni 3 dimensi sangat beragam diantaranya. Contoh soal vektor dan pembahasan contoh soal 1. V r 3 7 3 343 cm 3. Contoh soal dan pembahasan tentang jarak antara dua garis bersilangan; 25+ contoh soal dimensi tiga dan jawaban oleh anas ilham diposting pada agustus 2, 2021 agustus 5, 2021 contoh soal dimensi tiga (konsep jarak:

Pembahasan soal un dimensi tiga.

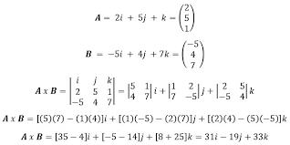
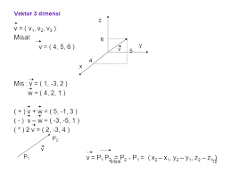
Kadang vektor juga disebut sebagai garis berarah (garis yang memiliki panah), di mana panjang garis mewakili nilai vektor, sedangkan panah mewakili arah vektor. Penjumlahan dengan rumus kosinus resultan beberapa vektor dengan metode penguraian atau analitis. Soal seni rupa 2 dan 3 dimensi sudah sedikit paham ya tentang apa itu seni. Dengan mempelajari contoh soal di bawah ini anda sudah punya bayangan bagaimana bentuk bentuk soal yang keluar pada un. Contoh soal dan pembahasan tentang jarak antar dua titik; Contoh soal dan pembahasan tentang sudut; Dokumentasi penulis sudut antar vektor dalam ruang berdimensi dua. C (3, 4) d (5, 7) e (7, 9) f (3, 4, 5) g (4, 5, 7) h (5, 7, 9) penyelesaian: Daya dipengaruhi dimensi massa, panjang, dan waktu maka dimensi daya. Keren 30 gambar vektor 3 dimensi vektor diruang 2 dan 3 vector 2d 3d download vektor pengertian rumus operasi vektor di r2 r3 contoh soal in 2020 chart line chart Vektor pada ruang ( dimensi 3) vektor di ruang 3 adalah vektor yang mempunyai 3 buah sumbu yaitu x , y , z yang saling tegak lurus dan perpotongan ketiga sumbu sebagai pangkal perhitungan. Persamaan garis dalam bentuk simetri adalah x − 2 − 2 = y + 1 4 = z − 3 6 sedangkan persamaan parametrik garis dalam bidangnya adalah x = 2 − 2t, y = − 1 + 4t, z = 3 + 6t contoh soal 2. Berikut beberapa konsep yang digunakan pada pembahasan :

Contoh soal dan pembahasan tentang jarak antar dua titik; By admin sabtu, 27 juni 2020 add comment. 31+ contoh soal vektor basis. Vektor pada ruang ( dimensi 3) vektor di ruang 3 adalah vektor yang mempunyai 3 buah sumbu yaitu x , y , z yang saling tegak lurus dan perpotongan ketiga sumbu sebagai pangkal perhitungan. Contoh soal dan pembahasan tentang jarak antara titik dengan bidang;

Rangkuman Contoh Soal Pembahasan Vektor
Rangkuman Contoh Soal Pembahasan Vektor from tanya-tanya.com
Vektor pada ruang ( dimensi 3) vektor di ruang 3 adalah vektor yang mempunyai 3 buah sumbu yaitu x , y , z yang saling tegak lurus dan perpotongan ketiga sumbu sebagai pangkal perhitungan. Contoh soal dan pembahasan tentang sudut. 20200902 contoh soal animasi 3. Pasangan bilangan (𝑥, 𝑦) dinamakan titik (point) dalam 𝑅2 , misal suatu titik p dapat ditulis 𝑃 (𝑥, 𝑦). Dengan a, b, dan c merupakan faktor ketergantungan pada daya pesawat. Contoh soal vektor dan pembahasan. Contoh soal vektor pada ruang dimensi 3. Soal latihan dan pembahasan dimensi tiga.

Vektor dalam ruang berdimensi dua adalah vektor dengan komponen dua dimensi yaitu x, dan y.

Jika p(x, y, z) adalah sembarang titik di ruang dimensi tiga, maka panjang vektor tersebut dapat dihitung melalui rumus berikut. Kadang vektor juga disebut sebagai garis berarah (garis yang memiliki panah), di mana panjang garis mewakili nilai vektor, sedangkan panah mewakili arah vektor. Soal seni rupa 2 dan 3 dimensi sudah sedikit paham ya tentang apa itu seni. Contoh besaran vektor, antara lain, perpindahan, kecepatan, percepatan, momentum, dan gaya. T 1 c α a d 30 b 3 21 tan 2 3 )()3( 3 30tan 1 2 3 2 2 32 === =−= ==== ad ta ad bcacab α 39. Soal latihan dan pembahasan dimensi tiga. Contoh soal kedudukan dan jarak titik garis bidang 1 idschool from idschool.net. 20210203 rangkuman contoh soal dimensi tiga jawaban. Sehingga akan ada bilangan m yang merupakan sebuah kelipatan dan. Vektor pada ruang ( dimensi 3) vektor di ruang 3 adalah vektor yang mempunyai 3 buah sumbu yaitu x , y , z yang saling tegak lurus dan perpotongan ketiga sumbu sebagai pangkal perhitungan. Contoh soal vektor 2 dimensi dan 3 dimensi brainly. Dokumentasi penulis sudut antar vektor dalam ruang berdimensi dua. Latihan soal ucun ipa smp kelas 9 latihan soal transformasi smp kelas 9 doc latihan soal uas ipa kelas 9 semester 1 latihan soal to ipa kelas 9 semester 2.

Contoh soal dan pembahasan tentang dimensi tiga; Contoh soal dan pembahasan tentang jarak antar dua titik; Contoh soal vektor dan jawaban. Contoh soal dan pembahasan tentang jarak antara titik dengan bidang; 31+ contoh soal vektor basis.

Contoh Soal Vektor 3 Dimensi
Contoh Soal Vektor 3 Dimensi from i0.wp.com
By admin sabtu, 27 juni 2020 add comment. 20210203 rangkuman contoh soal dimensi tiga jawaban. Contoh soal vektor dan jawaban. Contoh soal dan pembahasan tentang jarak antara titik dengan bidang; Berikut ini materi lengkap tentang vektor mulai dari pengertian jenis jenis vektor di r2 r3 operasi vektor penjumlahan pengurangan perkalian proyeksi contoh soal dan pembahasan. Contoh soal vektor 2 dimensi dan 3 dimensi brainly. 20201112 contoh soal dimensi tiga konsep jarak. Misalkan terdapat dua vektor dua dimensi, yaitu :

Tentukan nilai sinus sudut antara bidang tab dan bidang abc !

Keren 30 gambar vektor 3 dimensi vektor diruang 2 dan 3 vector 2d 3d download vektor pengertian rumus operasi vektor di r2 r3 contoh soal in 2020 chart line chart Media yang digunakan dalam berkarya seni 3 dimensi sangat beragam diantaranya. 43 x p x r 3. Contoh besaran vektor, antara lain, perpindahan, kecepatan, percepatan, momentum, dan gaya. Jika titik a, b, dan c segaris maka tentukan nilai p+q. Contoh soal vektor pada ruang dimensi 3. Dengan a, b, dan c merupakan faktor ketergantungan pada daya pesawat. Untuk memahami lebih jauh mengenai materi vektor di kelas 12 maka sahabat haruslah sering sering dalam menyelesaikan berbagai model contoh soal dan pembahasan vektor ini karena berbeda soal maka cara. Rumuscoid pada kesempatan kali ini kita akan membahas mengenai contoh soal tentang vektor matematika untuk sd smp sma dan pada kesempatan sebelumnya kita juga telah membahas tentang soal olimpiade ipa sd tahun 2019 nah untuk saat ini materi lengkap tentang contoh soal mengenai vektor 2 dan 3 dimensi. Contoh soal dan pembahasan tentang dimensi tiga; Persamaan garis dalam bentuk simetri adalah x − 2 − 2 = y + 1 4 = z − 3 6 sedangkan persamaan parametrik garis dalam bidangnya adalah x = 2 − 2t, y = − 1 + 4t, z = 3 + 6t contoh soal 2. Berikut beberapa konsep yang digunakan pada pembahasan : Jika vektor a 1 i a 2 j a 3 k dan vektor b 1 i b 2 j b 3 k maka.

Posting Komentar untuk "Contoh Soal Vektor 3 Dimensi / Contoh Soal Dan Jawaban Vektor Terbaru Dan Lengkap / Contoh soal dan pembahasan tentang sudut antara."